
저출생 시대, 체육과 스포츠는 무엇을 이야기하고 있나: 뉴스 기사와 학술논문의 토픽 분석과 비교
초록
본 연구는 저출생이라는 사회문제에 대해 체육 및 스포츠 분야에서 이루어지고 있는 논의를 파악하고, 논의가 부족한 영역과 향후 연구 방향을 도출하고자 뉴스 기사와 학술논문을 대상으로 토픽 모델링 분석을 실시하였다. 분석 결과, 뉴스 기사는 저출생의 직접적 영향과 대응 방안에 초점을 맞추고 있었으며, 학교 운동부 축소, 유소년 선수 감소, 지역 스포츠 기반 약화 등의 문제를 다루고 있었다. 반면, 학술논문은 고령화 관련 연구가 중심이었으며, 노인의 건강증진, 여가활동 지원 등 적응적 대응이 주된 논의로 나타났다. 이를 통해, 저출생이 체육 및 스포츠 분야에 미치는 영향을 실증적으로 분석할 필요성과 함께, 인구구조 변화에 대한 통합적 접근, 스포츠 가치 재정립 등 후속 연구 방향을 제시하였다.
Abstract
This study conducted topic modeling analysis on news articles and academic literature to examine discussions surrounding the social issue of low birth rates, in the fields of physical education and sports, and to identify areas of insufficient discourse and directions for future research. The analysis revealed that news articles focused on the direct impacts and strategies related to low birth rates, addressing issues such as the reduction of school sports teams, the decline in youth athletes, and the weakening of local sports infrastructure. In contrast, academic literatures were primarily centered on aging-related research, with adaptive responses such as promoting elderly health and supporting leisure activities as the main points of discussion. Based on these findings, this study highlights the need for empirical research on the impacts of low birth rates on sports, and proposes future research directions including integrated approaches to demographic changes and the redefinition of the value of sports.
Keywords:
Low Birth Rates, Physical Education, Sports, Topic Modeling, Discourse Comparison키워드:
저출생, 체육, 스포츠, 토픽 모델링, 담론의 비교Ⅰ. 서 론
우리나라는 현재 세계에서 가장 낮은 출산율을 기록하며 심각한 인구학적 변화를 겪고 있다. 통계청이 발표한 2024년 합계출산율은 0.75명으로(통계청, 2025), 9년 만에 처음으로 소폭 반등했다는 뉴스가 화제가 되기도 했으나, 이는 여전히 OECD 평균인 1.51명의 절반에도 미치지 못하는 수준이다. 이러한 저출생 현상은 이미 한국 사회 전반에서 광범위한 영향을 미치고 있으며, 그에 따른 미래 전망 또한 밝지 않다.
저출생으로 인한 사회경제적 영향은 생산가능 인구 감소에 따른 노동시장 위축, 소비 감소로 인한 경제 성장 둔화, 학령인구 감소와 지방 소멸 위기, 그리고 고령화에 따른 복지 및 의료비 부담 증가 등 다양한 측면에서 부정적인 결과로 나타날 것으로 보인다(국회미래연구원, 2022; 국회예산정책처, 2023; 보험연구원, 2022; 한국법제연구원, 2021; 한국보건사회연구원, 2021). 또한, 저출생과 인구구조 변화 현상이 쉽사리 해결되지 않을 것이라는 전망과 함께, 이러한 부정적 영향은 더욱 가속화될 것으로 예상하며, 이에 따라 한국 사회의 지속가능성 또한 심각한 도전을 직면하고 있다.
스포츠와 체육 분야 역시 이러한 인구학적 변화의 영향에서 자유롭지 않다. 학령인구 감소로 인한 학교 스포츠팀의 축소, 유소년 선수 발굴의 어려움, 스포츠 소비 인구의 변화 등 다양한 측면에서 저출생의 영향이 예상된다(이민규, 2024; 한국스포츠과학원, 2024). 또한, 관중 수 감소로 인한 스포츠산업 위축, 스포츠클럽과 리그의 재정적 어려움, 스포츠의 사회적 통합 기능 약화와 스포츠 인재의 해외 유출 가능성 등 광범위한 영향이 우려된다(한국스포츠과학원, 2024). 그러나, 타 분야와 달리 스포츠 및 체육 영역에서는 저출생이 구체적으로 어떤 영향을 미칠 것인지, 그리고 이에 대응하기 위해 무엇을 논의해야 하는지에 대한 연구 자체가 현저히 부족한 실정이다.
저출생 현상이 교육(김지윤, 김오석, 2021; 박남기, 2021; 박대권, 2018; 반상진 외, 2013; 유해미, 2017), 경제(강환구, 2017; 김기호, 유경원, 2008; 김동구, 박선영, 2013; 손종칠, 2014; 홍은주, 2017), 의료 및 복지(김민지, 강선준, 원유형, 오건택, 2016; 박소현, 이금숙, 2018; 이윤수, 이기영, 2012; 이인숙, 2005), 재정(정용주, 2021; 최병호, 2003; 최성은, 2011) 지역발전(구양미, 2021; 심재권, 2008; 이상림, 2014; 주상현, 2021) 등 한국 사회 전반에 미치는 영향에 대한 연구는 활발히 진행되어 왔으나, 저출생과 체육 및 스포츠의 관계를 주제로 한 연구는 소수에 불과하다(구창모, 2009; 윤태훈, 추종호, 최영환, 2024; 이민규, 2024). 한국스포츠과학원에서 인구구조 변화 및 저출산에 따른 체육 및 스포츠 분야의 정책 방향이나 과제에 관한 연구가 일부 진행되었으나(문화체육관광부, 2019; 한국스포츠개발원, 2016a, 2016b; 한국스포츠과학원, 2024; 한국스포츠정책과학원, 2021), 학교체육 정책, 엘리트 선수 육성, 생활체육 활성화 방안 등 정책적 제언에 집중하고 있으며, 저출생으로 인해 스포츠 및 체육 분야에서 어떠한 현상이 나타나고 있는지에 대한 분석과 논의는 이루어지고 있지 않다. 다시 말해, 저출생 현상이 본격화된 지 상당 기간이 지났음에도 불구하고, 스포츠 및 체육 분야에서의 구체적인 영향 분석과 대응 방안에 대한 체계적인 학술적 논의와 실증적 연구는 아직까지도 초기 단계에 머물러 있는 것을 알 수 있다.
스포츠 및 체육은 국가 정체성 형성 및 사회 통합(박종철, 2022; 박채복, 2010; 이강우, 2008), 국민 건강증진 및 경제적 가치 창출(김상범, 구강본, 2017; 김상훈, 정은정, 2017; 산업연구원, 2014; 한남희, 2018) 등 다양한 사회적 기능을 수행하는 중요한 영역이다. 따라서, 현재 한국 사회에서 가장 시급하면서 중요한 문제점으로 꼽히고 있는 저출생이라는 현상이 스포츠 및 체육 분야에 미치는 영향을 면밀하게 분석하고, 이에 대한 대응 전략을 모색하는 것은 학술적 및 정책적으로 매우 중요한 과제라고 할 수 있다. 이를 위한 첫 단계로, 본 연구에서는 한국 스포츠 및 체육 분야에서 저출생 현상과 관련한 어떠한 논의가 이루어지고 있는지를 우선적으로 파악하고자 한다.
특히, 저출생과 관련된 뉴스 기사와 학술논문에 대한 토픽 모델링 분석을 통해, 한국 스포츠 및 체육 분야에서 저출생 현상과 관련하여 어떠한 논의가 이루어지고 있는지를 알아보고자 한다. 토픽 모델링은 대량의 비구조화된 텍스트에서 잠재적인 주제를 자동으로 추출하는 텍스트 마이닝 기법으로, 주관적인 판단에 의존하지 않고 텍스트에 내재된 의미를 객관적으로 파악할 수 있는 방법이다(Blei, Ng, & Jordan, 2003). 또한, 본 연구에서는 뉴스 기사와 학술논문이라는 성격이 서로 다른 두 종류의 텍스트를 분석 대상으로 설정하였는데, 뉴스 기사는 시의성이 높고 사회적 관심사를 반영하며 대중의 인식 형성에 영향을 미치는 특징이 있으며(노설현, 2020; 백주해, 주형철, 권형일, 2021; 장수정, 박선아, 손여동, 2022), 학술논문은 전문성과 깊이 있는 분석을 바탕으로 학술적 담론을 형성한다(권도이 외, 2024; 김지영, 노동조, 2023) 따라서, 이처럼 서로 다른 특성을 가진 두 텍스트 유형을 함께 분석함으로써, 뉴스의 시의성과 학술논문의 심층성을 동시에 확보할 수 있으며, 사회적 이슈의 대중적 논의와 학문적 근거를 통합적으로 파악할 수 있게 된다.
따라서, 본 연구에서는 저출생이라는 가장 시급한 사회문제에 대해 체육 및 스포츠 분야에서는 어떠한 논의를 거쳐 오고 있는지를 토픽 모델링을 통해 파악하고, 논의가 부족한 영역과 향후 연구가 필요한 영역을 도출하고자 한다. 이를 통해, 저출생 시대에 한국 스포츠의 지속 가능한 발전을 위한 정책적 및 실천적 방안을 모색하는 데에 필요한 지식 기반을 제공하고자 한다.
Ⅱ. 연구 방법
1. 분석자료 수집 및 전처리
저출생과 관련하여 체육 및 스포츠 분야에서 논의되고 있는 주요 사안을 파악하기 위하여, 빅카인즈(BIGKINDS) 플랫폼과 KCI를 활용하여 뉴스 기사와 학술 연구논문을 수집하였다. 먼저, 우리나라에서 저출생과 고령화가 사회적 문제로 인식되기 시작한 2000년대 초반부터 최근까지의 논의를 포괄적으로 파악하기 위해, 자료 수집 기간은 2000년부터 2024년까지로 설정하였다. 이 기간은 우리나라 총인구에서 65세 이상의 비율이 7% 이상인 고령화 사회로 진입한 시기(2000년)부터, 합계출산율이 지속적으로 감소하여 초저출산 사회(합계출산율 1.3명 이하)로 진입하고, 저출산⋅고령사회 기본계획이 수립 및 시행된 시기를 모두 포함한다.
뉴스 기사는 빅카인즈에서 제공하는 12개의 전국 일간지와 13개의 경제일간지를 비롯한 모든 언론사를 대상으로 하였다. 저출생과 체육 및 스포츠에 대한 논의를 포괄적으로 탐색하기 위해 '저출산/저출생/고령화/인구구조'와 '체육/스포츠'의 조합으로 총 8가지 검색 키워드를 사용하였다. 이러한 키워드 조합은 저출생 현상과 관련된 다양한 용어적 표현('저출산', '저출생')과 이와 밀접한 사회현상('고령화', '인구구조')을 모두 포함할 수 있도록 하여, 관련된 담론을 누락 없이 수집하고자 하는 의도를 담고 있다. 특히, 저출생 현상은 단일한 용어로만 지칭되지 않으며, '저출산'과 '저출생'이라는 유사 개념이 혼재되어 있어(김종우, 2024.01.18.), 두 가지 표현을 모두 포함하는 것이 바람직하다고 판단하였다. 또한, 저출생은 고령화 및 인구구조 변화와 밀접하게 연관된 사회현상이며, 뉴스와 학술논문이라는 서로 다른 텍스트 유형에서 동일한 현상을 지칭하는 용어 사용의 방식이 다를 수 있어, 포괄적 키워드를 설정하여 논의 영역의 특성을 충분히 반영하고자 하였다.
다만, 수집한 기사의 내용 검토 결과, '고령화+체육', '고령화+스포츠', '저출산+체육' 키워드로 검색된 기사는 해당 키워드가 중심 주제로 다루어진 것이 아니라 여러 다른 주제의 이야기 중에 부수적으로 등장하는 경우가 많아, 본 연구의 주제와 관련성이 낮다고 판단하여 분석에서 제외하였다. 그 외 나머지 키워드로 검색한 결과, 총 7,093개의 뉴스를 수집하였고, 이 중에서 본 연구 주제와 관련성이 낮다고 판단되는 기사와 중복 기사를 제외하고 최종적으로 433건의 기사를 분석에 활용하였다.
학술 연구논문은 KCI 데이터베이스에서 뉴스 기사 검색과 동일한 8가지 키워드 조합을 사용하여 논문 초록을 수집하였다. 다만, '저출생' 키워드로 검색된 논문은 없었고, 그 외의 키워드 조합으로 검색한 결과, 총 464건의 논문이 검색되었다. 마찬가지로 연구 주제와 관련성이 낮거나 중복된 논문을 제외하고 최종적으로 130건의 논문을 분석에 활용하였다.
최종 분석에 활용한 데이터의 연도별 개수는 <표 1>과 같다. 뉴스 기사의 경우, 2007년부터 2022년까지는 비교적 적은 수준에서 유지되다가 2023년(77건)과 2024년(238건)에 급격히 증가하는 패턴을 보인다. 이는 저출생 현상과 관련된 체육 및 스포츠 분야에서의 관심이 최근에야 형성되었음을 시사한다. 2018년(18건)과 2022년(26건)에도 상대적으로 기사량이 증가한 시기가 관찰되는데, 이는 평창 동계올림픽과 베이징 동계올림픽 개최 시기와 맞물려 국가 경쟁력과 스포츠 인재 발굴에 대한 관심이 증가했을 가능성이 있다.
학술논문의 경우, 뉴스 기사와는 달리 2006년부터 2024년까지 비교적 꾸준한 발표량을 유지하고 있다. 2004년과 2005년을 제외하면, 대부분의 시기에서 4∼7건 사이의 논문이 발표되었으며, 2020년(13건)과 2024년(20건)에 다소 증가한 양상을 보인다. 주목할 점은, 뉴스 기사가 최근 1∼2년간 급증한 것과 달리, 학술논문은 전 기간에 걸쳐 꾸준히 발표되어왔다는 점이다. 이는, 저출생과 인구구조 변화가 체육 및 스포츠 분야에 미치는 영향에 대한 학술적 관심은 상대적으로 일찍이 형성되어 있음을 보여준다.
이를 통해, 저출생 현상이 초기에는 주로 학술적 관심사였다가 점차 그 영향이 가시화되면서 사회적 및 미디어적 관심으로 확장되었음을 알 수 있다. 특히, 2024년의 경우, 뉴스 기사(238건)와 학술논문(20건) 모두 최대치를 기록하고 있는데, 최근에 들어 연구과 미디어 모두에서 활발한 논의가 이루어지고 있으며, 저출생 문제가 체육 및 스포츠 분야의 중요한 도전 과제로 자리하고 있음을 보여준다.
수집한 뉴스 기사와 학술논문 데이터를 토픽 모델링 분석에 적합한 형태로 구성하기 위해서는 텍스트의 전처리 과정을 거쳐야 한다(백주해 외, 2021; 최윤소, 김기운 2024). 전처리 과정은 텍스트에서 불필요한 요소를 제거하고 의미 있는 단어만을 추출하여 분석의 정확성을 높이기 위해 반복적으로 진행하였고, 텍스트 전처리와 토픽 모델링을 포함한 모든 과정은 엑셀과 R 프로그램을 사용하여 이루어졌다.
먼저, 문장 부호, 숫자, 영어, 한 글자로 이루어진 단어 등을 제거하였고, 한국어 자연어 처리 패키지인 'KoNLP'를 활용하여 텍스트에서 명사만을 추출하였다. 더불어, 검색에 사용된 키워드인 '체육', '스포츠', '저출생', '저출산', '고령화', '인구구조'는 모든 문서에서 공통으로 등장할 가능성이 높지만, 토픽 구분에는 유의미한 키워드가 아니므로 분석 텍스트에서 제외하였다. 또한, '연구', '논문', '우리나라'와 같이 특정 토픽과 관련 없이 자주 등장하는 단어도 불용어(stop words)로 처리하여 제거하였다.
2. 적정 토픽 수 결정을 위한 혼란도 분석
전처리한 텍스트에 토픽 모델링 알고리즘을 적용하기에 앞서 최적의 토픽 개수를 결정해야 하는데, 이를 연구자가 주관적으로 판단하기보다는 데이터 기반의 객관적 기준을 적용하고자(노미영, 2022) 혼란도(perplexity)를 활용하였다. 혼란도는 확률 모델이 실제 관측된 데이터를 얼마나 잘 예측하는지를 나타내는 지표로, 혼란도 값이 낮을수록 모델의 예측력이 높다고 판단한다(Blei et al., 2003). 이처럼 혼란도를 활용한 토픽 수의 결정은, Blei et al.,(2003)에서 LDA 모델을 최초로 제안하면서 이를 모델의 성능 평가 지표로 소개한 이후 널리 활용되어 온 방법이다(김백준, 이권형, 이종화, 2024; 김태국, 김길환, 2021; 노설현, 2020; 배겨레, 2022; 조경원, 우영운, 2019; Griffiths & Steyvers, 2004).
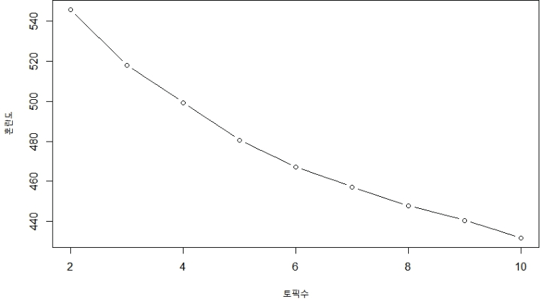
최적의 토픽 개수를 결정하기 위해서는, 혼란도 그래프 상에서 감소 경향이 완만해지는 지점, 즉 그래프가 팔꿈치(elbow) 모양으로 꺾이는 지점인 '엘보우 포인트(elbow point)'를 사용한다(Griffiths & Steyvers, 2004). 이 지점 이후로는 토픽 수를 증가시켜도 혼란도의 개선이 둔화하므로 모델의 복잡성과 해석 용이성을 고려할 때, 해당 지점이 최적의 토픽 개수라고 판단하게 된다(노설현 2020; 김백준 등, 2024). 뉴스 기사와 학술논문 데이터에 대해 토픽 수를 2개부터 10개까지 변화시키며 모델의 혼란도를 계산한 결과는 <그림 1>, <그림 2> 및 <표 2>와 같다.
뉴스 기사의 경우, 토픽 수가 증가할수록 혼란도 값이 점차 감소하는 것을 알 수 있는데, 그 감소폭은 토픽 수가 7개에서 8개로 증가할 때 29.373, 8개에서 9개로 증가할 때는 28.474로, 토픽 수 7개의 부근에서 감소폭이 안정화 되는 것을 알 수 있다. 학술논문도 마찬가지로, 토픽 수가 6개에서 7개로 증가할 때(10.02)와 7개에서 8개로 증가할 때(9.45)의 혼란도 감소폭을 비교해보면, 7개 이후부터 감소폭이 완만해지기 시작함을 확인할 수 있다.
따라서, 혼란도 분석 결과와 토픽의 해석 가능성을 종합적으로 고려하여, 뉴스 기사와 학술논문 모두 7개의 토픽을 산출하는 것이 적절하다고 판단하였다. 이후, 토픽 모델링 분석에서는 7개의 토픽을 기준으로 LDA(Latent Dirichlet Allocation) 모델(Blei et al., 2003; Steyvers & Griffiths, 2007)을 적용하여 각 토픽별 주요 키워드를 도출하였다.
Ⅲ. 결과 및 논의
1. 뉴스 기사 토픽 분석 결과
<표 3>은 저출생과 관련된 체육 및 스포츠 분야의 기사를 바탕으로 LDA 토픽 모델링을 수행한 결과이다. 도출된 7가지의 토픽과 각 토픽을 구성하는 키워드 및 토픽과 관련된 주요 기사를 통하여 토픽을 해석해보면 다음과 같다.
토픽 1은 키워드가 '올림픽, 선수, 파리, 대회, 선수단, 메달, 종목' 등으로 도출됨에 따라, 토픽명을 '국제 스포츠대회 대응과 저출생 시대 국가대표 육성 전략'으로 정하였다. 이 토픽은 2024년 파리올림픽과 같은 국제 스포츠대회의 준비 과정에서, 저출생에 따른 스포츠 인재 풀 감소 문제가 선수단 규모에 미치는 영향을 반영하고 있다. 이는, 국제 스포츠대회에서 한국의 위상을 유지하고자 하는 의지가 여전함을 보여준다. 국제 스포츠대회에서의 성과는 한국 사회의 발전을 드러내는 중요한 기회로 여겨져 왔으며, 이러한 기회가 저출생으로 인하여 위협받을 수 있다는 위기의식이 표현된 결과로 볼 수 있다. 또한, 국제 스포츠대회에서의 경쟁력 유지와 저출생 시대에 맞춘 새로운 인재 육성 전략이 필요함을 강조하는 기사도 찾아볼 수 있다. 이는 기존의 엘리트 중심 선수 육성 시스템의 근본적인 재점토가 필요함을 내포하고 있으며, 기존의 육성 방식이 인재 풀 감소라는 현실과 어떤 조화를 이룰 수 있을지에 대한 사회적 고민도 반영되어 있다.
토픽 2는 키워드가 '학생, 감소, 인구, 학교, 운동부, 대회, 클럽' 등으로 도출됨에 따라, 토픽명을 '학교 스포츠 기반 약화와 전략'으로 정하였다. 이는 학생 인구 감소로 인해 학교 운동부가 급격히 축소되고 있는 현상을 중심으로 하며, 토픽 1과 마찬가지로 전통적인 선수 육성 시스템의 변화를 의미한다. 학교 운동부 중심의 선수 육성 체계는 오랫동안 한국 스포츠의 기반을 이루어왔으나, 저출생으로 인한 학생 수 감소는 이러한 시스템의 지속가능성에 근본적인 의문을 제기한다. 이와 동시에, '학교'에서 '클럽'으로의 활동 주체가 전환하는 현상도 보여주는데, 기존의 제도화된 학교 운동부 시스템이 약화하면서 다양한 형태의 클럽 활동이 그 대안으로 부상하고 있음을 의미한다. 반면, 학교 스포츠 활동을 통해서 지역 공동체 활성화가 이루어질 수 있다는 바도 역설적으로 보여주는데, 이는 저출생이라는 위기 상황에서도 스포츠 활동이 갖는 사회적 통합 기능에 대한 기대와 그 가능성을 반영하고 있다.
토픽 3은 키워드가 '메달, 선수, 엘리트, 종목, 축구, 농구, 생활' 등으로 도출됨에 따라, '프로스포츠 산업 경쟁력 약화와 생활체육 기반 축소'로 토픽명을 정하였다. 국내 프로스포츠 산업이 저출생과 생활체육 기반 약화로 인한 경쟁력 저하 위기에 있음을 보여주며, 아동 인구 감소로 인해 지역 생활체육 참여 기반이 흔들리고 있음을 반영한다. 이는 스포츠 생태계의 선순환 구조가 위기에 있음을 보여주는데, 축구와 농구라는 대표적인 인기 종목에서 나타나는 위기는 단순한 특정 종목에서의 문제를 넘어서 한국 스포츠 문화 전반의 위축을 나타낸다고 할 수 있다.
토픽 4는 키워드가 '병역, 특례, 예술, 제도, 아시안게임' 등으로 도출됨에 따라, '운동선수의 병역특례 제도 재편 요구'로 토픽명을 부여하였다. 이는 운동선수에게 주어지는 병역특례 문제를 중심으로 한 논쟁을 반영하며, 특히, 저출생 시대에서 병역자원이 감소하는 와중에 병역특례 제도의 전면적인 재편 필요성이 제기되고 있음을 보여준다. 이는 저출생 시대에서 사회적 공정성에 대한 인식 변화를 반영하고 있다고 할 수 있다. 과거에는 국제 스포츠대회에서의 메달 성과가 국가적 자긍심 제고와 국위선양이라는 명분으로 병역 특례의 정당성이 확보되었지만, 병역자원이 감소하는 상황에서 운동선수에 대한 특례 제도는 당연하거나 공정한 혜택으로 받아들여지지 않는다는 것이다, 즉, 국제대회에서의 성과와 사회적 기여 간의 관계에 대한 재검토가 필요함을 의미하며, 저출생 사회에서 제한된 인적자원의 공정한 배분이라는 문제가 스포츠 영역에서도 대두되고 있음을 나타낸다.
토픽 5는 '학교, 시설, 인구, 지역, 학생, 폐교, 복합, 주민, 사업' 등으로 키워드가 도출됨에 따라, 토픽명을 '학교시설의 복합화 및 지역 스포츠 인프라 전환 전략'으로 정하였다. 학령인구 감소로 인해 발생한 폐교를 지역사회의 복합 문화 및 스포츠 시설로 전환하는 정책적 노력을 보여주며, 저출생 시대에 학교 인프라를 공공자산으로 재구성하는 전략적 시도가 이루어지고 있음을 알 수 있다. 이는 공공자산 활용의 패러다임이 전환되어야 하는 필요성을 보여주는데, 학령인구 감소로 여유 공간이 발생한 학교시설을 지역사회 전체가 이용할 수 있는 복합시설로 전환하는 것은 공공서비스 제공 방식의 근본적인 변화가 있어야 함을 의미한다. 즉, 저출생 사회에서 한정된 자원을 효과적으로 활용하면서 위기를 기회로 전환하려는 정책적 대응을 보여준다.
토픽 6은 '인구, 지역, 감소, 위기, 소멸, 정책, 경제' 등으로 키워드가 도출됨에 따라, 토픽명을 '지방 소멸 대응을 위한 스포츠 관광 전략'으로 정하였다. 지방자치단체들이 스포츠 인프라를 지역 경제 활성화 및 인구 유입 전략으로 적극 활용하고 있으며, 특히, 스포츠 전지훈련지 유치가 소멸 위험에 직면한 지역에게는 생존 전략으로 여겨지고 있음을 보여준다. 이는 저출생과 지방 소멸이라는 이중 위기 상황에서 스포츠가 가진 경제적 및 사회적 가치가 재발견되고 있음을 의미한다. 스포츠가 단순한 여가활동이나 교육 수단을 넘어서 지역경제 활성화와 인구 유입의 핵심 수단이 될 수 있으며, 지역 생존 전략으로서 가지는 스포츠의 새로운 역할과 전략적 중요성을 드러낸다.
토픽 7은 '늘봄, 학교, 프로그램, 운영, 교육, 제공' 등으로 키워드가 도출됨에 따라, 토픽명을 '돌봄 체계 내 스포츠 통합 프로그램 확대'로 정하였다. 늘봄학교 정책을 중심으로 방과 후 프로그램 안에 스포츠 활동을 통합하는 움직임이 나타나고 있으며, 돌봄 서비스가 저출생 대응 차원에서 아동 복지 향상과 학부모 돌봄 부담 완화를 겨냥한 정책으로 활용되고 있음을 알 수 있다. 교육, 돌봄, 체육으로 분리되었던 영역이 통합적 서비스로 재구성되고 있으며, 이는 다양한 사회적 요구를 충족시키기 위해서는 제한된 자원을 효율적으로 활용하는 혁신적인 접근이 필요함을 의미한다. 또한, 스포츠 활동과 통합한 사회적 돌봄 체계는 스포츠가 신체 활동을 넘어 종합적인 아동발달 및 복지 지원 수단으로 재정의되고 있음을 보여주기도 한다.
2. 학술논문 토픽 분석 결과
<표 4>는 저출생과 관련된 체육 및 스포츠 분야의 학술논문을 바탕으로 LDA 토픽 모델링을 수행한 결과이다. 도출된 7가지의 토픽과 각 토픽을 구성하는 키워드 및 토픽과 관련된 주요 논문을 통하여 토픽을 해석해보면 다음과 같다.
토픽 1은 키워드가 '고령자, 여가활동, 프로그램, 신체활동, 전문가, 의료비' 등으로 도출됨에 따라, 토픽명을 '고령자 여가활동과 건강증진 전략'으로 정하였다. 이는 여가와 신체활동을 통해 고령자의 건강을 증진하는 방법에 대한 학술적 관심을 반영하고 있으며, 고령사회에 대응하기 위해 스포츠 프로그램 및 지도자 역할 강화의 필요성을 강조하고 있다. 특히, 의료비 절감의 차원에서 고령층 복지 정책과 스포츠 정책의 접목 가능성을 보여주며, 고령자의 여가 및 스포츠활동은 단순한 신체운동 차원을 넘어, 고령사회의 사회적 비용을 절감하고 사회적 고립을 해소하는 주요 전략으로 기능함을 나타낸다. 그러나, 고령자 대상 체육 프로그램이 도시지역 중심에 편중되어 있으며, 농어촌 고령자의 접근성은 여전히 낮은 상황이므로 지역 간 균형 발전을 위한 정책이 요구된다.
토픽 2는 키워드가 '액티브, 프로그램, 운동기구, 시니어, 건강증진, 베이비붐, 초고령사회'로 도출됨에 따라, '고령자의 신체활동 기반 건강복지 확장'으로 토픽명을 정하였다. 이는, 고령자를 대상으로 한 스포츠 활동 및 체육 프로그램 개발을 통해서 건강을 증진하고 복지를 확장하는 전략을 중심으로 한다. 특히, 고령자 맞춤 스포츠 프로그램, 스포츠 바우처 제도, 여성 고령자 대상 프로그램, 고령자용 야외 운동기구 개발 등을 통해 스포츠가 고령자 복지정책의 핵심 수단으로 활용될 수 있음을 보여준다. 또한, '베이비붐 세대'에 대한 관심은, 획일적인 고령자 정책에서 벗어나 각 세대가 갖는 고유한 특성과 경험을 반영한 맞춤형 프로그램 개발의 필요성을 제기하며, 이들은 높은 교육 수준과 경제력, 적극적 소비 성향을 갖고 있어 새로운 실버 시장의 창출 가능성을 시사한다.
토픽 3은 키워드가 '소비자, 사용자, 스마트, 기능성, 애플리케이션' 등으로 도출됨에 따라, 토픽명을 '헬스케어 융합을 통한 고령자의 삶의 질 향상'으로 부여하였다. 이는 고령자 대상 스마트 스포츠웨어 개발, 야외 체육시설 개선, 헬스케어 애플리케이션의 사용성 증진 등 스포츠 및 헬스케어 기술을 융합하여 고령자의 건강 및 삶의 질을 향상하려는 전략을 중심으로 한다. 특히, 사용자의 요구를 반영한 사용자 경험 기반 설계, 접근성과 이해도를 높인 건강정보 제공은 고령자의 자율적인 건강관리 역량을 높이는 데 기여할 수 있다. 또한, 독거노인에 대한 관심은 사회적 고립 문제 해결이라는 체육 및 스포츠 분야에서의 새로운 책임을 부각시키는데, 고령자의 신체적 건강뿐만 아니라 사회적 연결과 정서적 웰빙까지 포함하는 역할의 확산을 의미한다.
토픽 4는 '활성화, 체육정책, 평생교육, 복지관' 등으로 키워드가 도출됨에 따라, '노인 체육정책 및 평생교육'으로 토픽명을 정하였다. 여기에선 노인체육인재 양성, 평생교육, 해외 노인체육 정책의 사례 분석 등 고령화 및 인구구조 변화에 따른 스포츠의 새로운 역할과 대응 전략을 포괄적으로 논의한다. 고령화와 저출생이라는 구조적 변화는 단순히 고령자의 건강문제를 넘어, 사회복지, 경제활성화, 지역 균형발전, 교육정책 전반에 영향을 미치고 있으며, 스포츠는 노년기의 평생교육과 사회참여, 지역 커뮤니티 활성화 등 다방면에서 핵심적인 역할을 수행할 수 있음을 보여준다. 이는 평생교육 차원에서, 스포츠가 특정 연령대의 전유물이 아닌 모든 생애 단계에서 필요한 기본적 소양이 되었음을 나타낸다.
토픽 5는 '전문가, 소비자, 건강관리, 여가활동, 평생교육, 여가정책' 등으로 키워드가 도출됨에 따라, '고령자의 여가활동 유형 및 지원정책'으로 토픽명을 정하였다. 본 토픽은 고령자 여가활동이 세분화된 양상과 이에 대응하는 맞춤형 지원정책의 필요성을 강조함과 동시에, 고령사회 대응을 위해 노인체육의 법제화, 스포츠 복지 강화, 노인 스포츠건강관리 전문가 양성 등의 정책 필요성을 제시하였다. 고령자의 여가 및 체육참여 확대를 위해서는 고령자의 유형별 특성에 맞춘 체육정책 설계가 이루어져야 하며, 제도적 기반 마련, 전문인력 양성, 공공체계 확충 등의 복지 제도화가 요구된다. 특히, 코로나19 팬데믹을 거치면서 디지털 매체를 활용한 비대면 체육활동의 가능성이 확인됨에 따라, 향후 고령층을 대상으로한 체육 활동 방식이 근본적으로 변화할 수 있음을 보여준다.
토픽 6은 '스포츠산업, 기본법, 헌법상, 법제도, 인적자원' 등으로 키워드가 도출됨에 따라, '노인체육 법제화 및 스포츠산업 기반 강화'로 토픽명을 부여하였다. 노인체육 활성화를 위해 스포츠권의 법제화 필요성이 제기되고 있으며, 스포츠 인적 및 물적 자원의 효율적인 배치를 통한 산업의 확장과 헬스케어 중심의 비즈니스 모델에 초점을 두고 있다. 이는 단순히 고령층의 스포츠 참여를 권장하는 데에 그치지 않고, 스포츠 기본법과 헌법상의 건강권 차원에서 이를 법률로 보장해야 한다는 주장이다. 특히, 체육활동이 개인의 선택 사항에서 사회가 보장해야 하는 기본권으로 인정받아야 한다는 바를 강화하며, 체육의 공공재적 성격을 발전시키는 토대를 제공하고 있다.
토픽 7은 '체육지도자, 스포츠지도사, 프로그램, 생활체육, 임파워먼트' 등으로 키워드가 도출됨에 따라, '체육지도자의 역할과 생활체육의 사회적 가치'로 토픽명을 정하였다. 이는 고령화가 심화하는 한국사회에서 생활체육은 단순한 여가활동이나 건강증진 수단을 넘어, 노인 임파워먼트 증진과 성공적 노화 등 사회적 안전망의 역할을 담당할 수 있음을 보여준다. 또한, 이러한 생활체육의 사회적 가치를 실현하기 위해서는 전문성을 갖춘 체육지도자의 역할이 중요하며, 이들의 직업적 안정성을 보장하기 위한 제도적 지원이 필요함을 시사한다. 특히, 체육지도자와 같은 전문직의 사회적 역할이 운동 기술을 가르치는 것에서 사회복지 전문가로 그 역할이 확장하고 있음을 보여주며, 그중에서도 노인스포츠지도자는 고령사회에서 미래 일자리 창출에 대한 기여를 의미하기도 한다.
3. 뉴스 기사와 학술논문의 토픽 분석 결과 비교
뉴스 기사의 토픽 모델링 결과, 뉴스 보도에서는 저출생 현상이 체육 및 스포츠 분야에 미치는 직접적 영향과 이에 대한 대응 방안에 초점을 맞추고 있음을 알 수 있다. 뉴스 기사에 나타난 저출생과 체육 및 스포츠 관련 담론의 주요 내용과 특성을 구체적으로 살펴보면 다음과 같다.
첫째, 학교 운동부 축소, 선수 자원 감소, 프로스포츠 경쟁력 약화, 지역 스포츠 기반 축소와 같이 저출생이 스포츠 분야에 미치는 구체적인 영향을 중심으로 논의가 이루어지고 있다. 이는 현실을 반영하고 진단하는 접근으로, 저출생의 가시적이며 직접적인 결과에 대한 즉각적인 반응을 보여준다.
둘째, 국제 스포츠대회, 학교 스포츠, 프로스포츠, 병역특례, 학교시설, 지역 스포츠, 돌봄 체계 등 체육 및 스포츠의 여러 영역에 미치는 영향을 포괄적으로 다루고 있기도 하다. 이는 저출생과 관련된 전방위적인 영향을 포함하며, 스포츠 생태계 전반에 미치는 복합적 파급효과에 대한 인식이 확장되고 있음을 나타낸다.
셋째, 위기 상황을 진단함과 동시에, 학교시설 복합화, 스포츠관광 활성화, 돌봄체계와의 통합 등 구체적인 대응 전략도 함께 제시한다. 넷째, 학령인구 감소로 인한 학교체육의 위기, 2024 파리올림픽 등 임박한 이벤트와 관련된 논의처럼 시의성 높은 내용이 중심을 이루고 있다. 마지막으로, 스포츠를 통한 지역 소멸 위기 극복 및 경제 활성화 등 스포츠의 사회경제적 기능에도 주목하고 있으며, 위기 상황에서도 스포츠가 가지는 도구적 가치를 강조하여 그 유용성을 부각시키려는 전략적 담론이 형성되어 있음을 보여준다.
이러한 결과를 종합해보면, 뉴스 기사에서는 저출생이 체육 및 스포츠 분야에 미치는 영향이 인구 감소에 따른 스포츠 참여자의 감소라는 단순한 관계가 아니라, 제도, 정책, 인프라, 지역사회 등 다양한 차원에서 복합적으로 나타나고 있음을 보여준다. 또한, 대부분의 토픽에서 저출생의 위기적인 측면을 강조하고 있지만, 이를 새로운 기회로 전환하려는 시도와 노력이 함께 이루어지고 있음을 확인할 수 있다.
반면, 학술논문의 경우, 저출생보다는 고령화 현상에 중점을 두고 있으며, 보다 이론적이고 체계적인 접근을 보여주는 특징이 확인된다. 첫째, 모든 토픽에서 '고령자', '노인', '시니어' 등의 키워드가 두드러지며, 고령화에 대한 대응이 중심 주제로 나타났다. 이는 결과 중심적 접근으로서 저출생의 직접적인 현상보다는 그에 따른 장기적 결과인 인구 고령화에 학술적 관심이 집중되어 있음을 보여준다.
둘째, 고령자 건강 증진 프로젝트, 스마트 건강제품 및 헬스케어 기술, 평생교육 연계 활동 등 실용적인 서비스 개발에 중점을 두고 있기도 하다. 셋째, 고령자의 임파워먼트, 성공적 노화, 스포츠권과 같은 이론적 개념을 바탕으로 한 학술적 담론을 형성하고 있다. 마지막으로, 체육관련 법제도, 자격증 제도 및 체육지도자 전문성 강화와 같이 제도적 및 법적기반의 구축에 관한 논의도 포함하고 있다.
이러한 결과를 종합해보면, 학술논문에서는 인구구조 변화와 관련하여 저출생 보다는 고령화에 관한 연구가 지배적이며, 주로 고령층의 건강증진, 여가활동 지원, 서비스 개발 등 적응적 대응에 초점을 맞추고 있음을 알 수 있다. 즉, 저출생 자체의 영향보다는 그 결과로서의 고령화 사회에 대한 준비와 대응에 관심을 기울이고 있으며, 이론적 개념과 체계적 방법론을 기반으로 한 연구가 주를 이루고 있다. 특히, 타 분야와 달리, 저출생 현상의 직접적인 영향에 대한 학술적인 논의가 아직 초기 단계에 머물러 있으며, 이는 향후 저출생이 체육 및 스포츠 분야에 미치는 직접적 영향에 관한 연구의 확장이 필요함을 보여준다.
이러한 뉴스 기사와 학술논문의 토픽 모델링 결과를 비교해보면, 몇 가지 차이점을 발견할 수 있다. 가장 먼저, 초점의 차이가 두드러지게 나타나는데, 뉴스 기사는 저출생의 직접적 영향과 위기 대응에 초점을 맞추고 있는 반면, 학술논문은 고령화 현상과 고령자 대상 서비스 개발에 중점을 두고 있다.
연구 대상에서도 차이가 나타난다. 뉴스 기사는 학생, 학생선수, 엘리트 선수, 지역사회 등 다양한 대상을 다루는 반면, 학술논문은 주로 고령자와 노인을 대상으로 한 연구가 중심을 이루고 있다. 연구 영역에서도 뉴스 기사는 학교체육, 엘리트 스포츠, 지역 스포츠 등 폭넓은 영역을 다루는 데 비해, 학술논문은 고령자의 건강관리, 여가활동, 제도적 지원 등 특정 영역에 집중되어 있음을 알 수 있다.
이러한 비교를 바탕으로 하였을 때, 향후 저출생 관련 체육 및 스포츠 분야에서는 다음과 같은 연구 및 논의가 이루어질 필요가 있음을 도출할 수 있다. 첫째, 현재 학술연구는 고령화에만 초점이 맞추어져 있어, 저출생의 직접적 영향에 관한 실증적 연구가 부족하다. 따라서, 뉴스에서 제기된 다양한 문제(학교 운동부 감소, 선수 자원 부족, 지역 스포츠 기반 약화 등)를 학술적으로 검증하고 분석하는 연구가 요구된다.
둘째, 저출생과 고령화를 별개의 현상으로 다루기보다는, 인구구조 변화라는 통합적인 관점에서 체육 및 스포츠 분야의 변화를 분석하는 접근이 요구된다. 출생률 감소는 인구구조의 변화를 가져오며, 이는 고령 인구 비율의 증가로 이어진다. 따라서, 두 현상을 분절적으로 접근할 경우, 인구구조 변화가 스포츠 생태계 전반에 미치는 영향을 포괄적으로 이해하기 어려울 수 있다. 예를 들어, 유소년 스포츠 기반 축소와 노인 스포츠 수요 증가는 동시에 발생하는 현상이므로, 체육 인프라와 지도자 등 한정된 자원의 효율적인 재분배를 함께 고려해야 하는 것 등이 해당한다.
마지막으로, 저출생 시대의 스포츠가 가지는 가치와 역할을 재정립하는 연구가 필요하다. 이는 인구 감소라는 배경에서 스포츠가 지속가능한 발전을 이루기 위해서는 기존의 성장 중심의 패러다임에서 벗어나 새로운 가치 체계와 역할을 정립할 필요가 있기 때문이다. 즉, 단순히 참여자 수나 관중 규모의 증가, 메달 획득 수의 증가와 같은 양적 지표로 스포츠의 성공과 가치를 평가하기보다는, 지역사회의 공동체 활성화와 세대 간 연결 등 질적인 가치와 사회적 역할을 새롭게 정의할 수 있을 것이다. 이러한 접근은 저출생 시대에 스포츠가 위기를 겪는 대상이 아니라, 오히려 사회 변화에 대응하고 새로운 기회를 창출하는 분야로 성장하는 전환의 계기가 될 수 있다.
이는 기존의 연구(이민규, 2024)에서 제시한 문제의식과도 연결된다. 해당 연구는 초저출생이 초래하는 체육계의 위기를 다양한 관점에서 진단한 후, 체계적이고 장기적인 정책 대응의 필요성을 강조하였다. 따라서, 향후 연구와 정책 수립 과정에서는 저출생과 고령화의 연계적인 이해를 바탕으로, 사회 변화에 능동적으로 대응하고 지속 가능한 발전을 이룰 수 있도록 지원하는 전략 마련이 요구된다.
Ⅳ. 결 론
앞서 언급한 바와 같이, 저출생과 체육 및 스포츠의 관계를 주제로 한 연구는 소수에 불과하다(구창모, 2009; 윤태훈 등, 2014; 이민규, 2024). 특히, 토픽 모델링 결과에서 나타난 바와 마찬가지로, 이러한 연구도 저출생 현장 그 자체보다는 그 결과인 고령화에 초점을 맞추고 있으며, 현상에 대한 파악보다는 정책적 제언에 집중하고 있어, 저출생이 스포츠 현장에서 실제로 어떤 현상을 야기하고 있으며 무엇이 논의되고 있는지에 대한 실증적 분석은 부족하였다.
본 연구는 이러한 한계를 보완하기 위해 저출생이라는 시급한 사회문제에 대해 체육 및 스포츠 분야에서 어떠한 논의가 이루어지고 있는지를 파악하고, 논의가 부족한 영역과 향후 연구가 필요한 방향을 도출하고자 뉴스 기사와 학술논문을 대상으로 토픽 모델링 분석을 실시하였다. 분석 결과, 뉴스 기사와 학술논문 간에는 저출생과 체육 및 스포츠 분야의 관계에 대한 인식과 접근 방식에서 뚜렷한 차이가 존재함을 확인할 수 있었다.
뉴스 기사에서는 저출생이 체육 및 스포츠 분야에 미치는 직접적 영향과 대응 방안에 초점을 맞추고 있었으며, 구체적으로는, 학교 운동부 축소, 유소년 선수 감소, 지역 스포츠 기반 약화 등의 위기상황과 함께 학교시설 복합화, 스포츠 관광 활성화 등의 대응 전략이 제시되었다. 반면, 학술논문에서는 저출생 보다는 고령화에 관한 연구가 지배적이었으며, 주로 노인 건강증진, 여가활동 지원 등 고령사회에 적응하는 방안에 초점이 맞추어져, 저출생의 직접적 영향에 대한 학술적 논의는 초기 단계에 머물러 있음을 확인할 수 있었다.
또한, 기존의 연구가 체육 및 스포츠의 개별 영역을 분절적으로 다룬 것과 달리, 본 연구에서는 국제 대회부터 생활체육까지 스포츠 생태계 전반을 둘러싼 논의 구조를 체계적으로 파악하고, 뉴스 기사와 학술연구 간의 차이를 밝힘으로써 향후 연구 방향을 제시했다는 점에서 의의를 가진다. 특히, 뉴스에서 제기되는 다양한 현실적 문제들을 학술적으로 검증하고 체계화하는 연구가 필요함을 제시하였는데, 이러한 결과는 학술적 측면에서 저출생과 체육 및 스포츠 분야의 관계에 대한 연구의 기초 자료로 활용될 수 있을 것이다. 나아가, 저출생 시대에 한국 스포츠의 지속 가능한 발전을 위한 정책적 및 실천적 방안을 모색하는 데 필요한 지식 기반을 제공함으로써, 인구구조 변화라는 도전에 효과적으로 대응하고, 새로운 기회를 창출하는 토대를 마련하는 데 기여할 것으로 기대된다.
다만, 이러한 비교 과정에서 각 텍스트가 가진 고유한 특성과 커뮤니케이션 목적 등을 고려한 분석에는 미치지 못했다는 한계를 가진다. 이는 본 연구의 일차적인 목적이 저출생이라는 동일한 주제에 대해 뉴스와 학술논문이라는 서로 다른 텍스트, 즉 대중적 담화와 학술적 담화를 목적으로 하는 텍스트가 어떻게 다른 맥락으로 구성되었는지를 살펴보기 위함이었다는 데에서 비롯된다. 본 연구를 통해 담화 간에 차이가 있다는 점이 확인되었으므로, 향후 연구에서는 대중을 대상으로 한 정보 전달 및 관심 유발을 주목적으로 하는 뉴스와 전문가 집단을 대상으로 한 지식 생산의 목적을 가지는 학술논문에서 각각의 목적과 독자 특성에 따른 차별화된 해석을 도입할 필요가 있다. 이를 통해 단순한 비교를 넘어 각 텍스트의 고유한 특성을 고려한 보다 정교한 분석이 가능할 것으로 기대된다.
Acknowledgments
이 논문 또는 저서는 2024년 대한민국 교육부와 한국연구재단의 지원을 받아 수행된 연구임(NRF-2024S1A5B5A16019393)
References
- 강환구(2017). 인구구조변화가 인플레이션의 장기 추세에 미치는 영향. 경제분석, 23(3), 23-60.
- 구양미(2021). 인구 변화와 도시 쇠퇴의 지역 불균형: 저출산과 지방소멸 문제에 대한 시사점. 국토지리학회지, 55(3). 301-320.
- 구창모(2009). 현대의 고령화 사회에서 스포츠의 역할 및 과제. 한국체육학회지, 48(2), 35-45.
- 국회미래연구원(2022). 미래 인구구조 변화와 노후소득보장제도. 국가미래전략 Insight 52호. 서울: 국회미래연구원.
- 국회예산정책처(2023). 중⋅장기 재정현안 분석 인구위기 대응전략. 서울:국회예산정책처.
- 권도이, 조미지, 이현주, 권용철, 장지현(2024). LDA 토픽 모델링을 이용한 해외 경찰학 연구동향에 대한 탐색적 연구. 치안정책연구, 38(2), 163-195.
- 김기호, 유경원(2008). 인구고령화가 인적자본 투자 및 금융시장에 미치는 영향. 보험개발연구, 19(3), 165-208.
- 김동구, 박선영(2013). 고령인구 비중 증가가 소비구조 변화를 통해 생산과 고용에 미치는 영향. 산업경제연구, 26(6), 2519-2546.
- 김민지, 강선준, 원유형, 오건택(2016). 저출산⋅고령화 시대 의료 정책 및 법제 개선방안에 관한 연구: 원격의료제도 활성화를 위한 검토를 중심으로. 법학논총, 36, 35-79.
- 김백준, 이권형, 이종화(2024). 대체 데이터 분석을 위한 토픽모델링 연구: 치유 공간을 중심으로. 정보시스템연구, 33(4), 179-191.
- 김상범, 구강본(2017). 사회적 경제로써 스포츠산업의 가치와 가능성. 움직임의 철학: 한국체육철학회지, 25(4), 85-100.
- 김상훈, 정은정(2017). 스포츠 활동의 경제적 파급효과 분석. 한국스포츠산업경영학회지, 22(5), 1-13.
- 김종우(2024.01.18.). 저출산 대신 저출생…與野 용어 바꾼 까닭. 한국경제. https://www.hankyung.com/article/2024011845061
- 김지영, 노동조(2023). 토픽모델링을 활용한 4차 산업혁명 분야의 국내 연구 동향 분석. 한국비블리아학회지, 34(3), 207-234.
- 김지윤, 김오석(2021). 초⋅중⋅고 학령인구 감소에 의한 학교 통폐합 잠재성. 한국지역지리학회지, 27(1), 55-69.
- 김태국, 김길환(2021). 토픽 모델링을 활용한 게임 리뷰 데이터의 감성 분류. 디지털콘텐츠학회논문지, 22(9), 1477-1486.
- 노미영(2022). 토픽모델링을 통한 여성체육학 분야의 연구동향 분석: 한국여성체육학회지를 중심으로. 한국여성체육학회지, 36(1), 73-91.
- 노설현(2020). 토픽모델링을 활용한 인공지능 관련 이슈 분석. 디지털융복합연구, 18(5), 75-87.
- 문화체육관광부(2019). 건강한 100세 시대 구현을 위한 체력인증과 맞춤형 생활체육 참여 방안. 세종:문화체육관광부.
- 박남기(2021). 저출산 시대 대응을 위한 초⋅중등교육 관련 이슈와 정책 탐색. 열린교육연구, 29(1), 189-216.
- 박대권(2018). 학령인구감소에 따른 학교 및 학급수 정책. 교육비평, (42), 58-91.
- 박소현, 이금숙(2018). 저출산-고령사회 지역 인구구조 변화를 고려한 인구연령층별 관련 의료시설 분포 예측. 대한지리학회지, 53(3), 371-385.
- 박종철(2022). 독일의 스포츠를 통한 사회통합 사례에 따른 한국 스포츠의 방향성 모색. 한국체육정책학회지, 20(3), 117-143.
- 박채복(2010). 스포츠와 사회통합의 정치사회적 함의. 평화학연구, 11(3). 255-276.
- 반상진, 신현석, 노명순, 조영재, 박민정(2013). 학령인구 감소에 따른 대학정원 조정 및 대학구조개혁 대책 연구. 교육정치학연구, 20(4), 189-211.
- 배겨레(2022). 2000년 이후 국내 한의학 암 관련 연구 동향 분석 – Latent Dirichlet Allocation 기반 토픽 모델링 및 연관어 네트워크 분석. 대한한방내과학회지, 43(6), 1075-1088.
- 백주해, 주형철, 권형일(2021). 토픽 모델링을 사용한 운동선수 병역특례 언론 보도의 경향 분석. 한국스포츠산업경영학회지, 26(3), 1-14.
- 보험연구원(2022). 인구고령화가 건강보험 수요에 미치는 영향: 구조모형을 활용한 정량화. 서울: 보험연구원.
- 산업연구원(2014). 스포츠 시장가치망에 따른 통계작성과 정책 방향. 세종:산업연구원.
- 손종칠(2014). 인구구조 변화가 개방경제의 성장률에 미치는 영향: 인구고령화와 자본이동간의 관계를 중심으로. 경제분석, 20(4), 39-76.
- 심재권(2008). 저출산⋅고령화의 인구구조변화에 따른 농촌과 도시지역의 산업구조변화 비교분석. 한국정책과학학회보, 12(2), 125-146.
- 유해미(2017). 저출산 대응을 위한 자녀양육 단계별 돌봄지원 수요 분석 및 정책 과제. 육아정책포럼, 54, 16-25.
- 윤태훈, 추종호, 최영환(2024). 인구구조 변화에 따른 스포츠 시설 활용 방안: 중앙지 이론을 중심으로. 골프연구, 18, 53-61.
- 이강우(2008). 축구를 통해 본 한구국가의 정체성 형성. 움직임의 철학: 한국체육철학회지, 16(3). 117-130.
- 이민규(2024). 초저출산 시대 인구 위기의 대한민국, 체육계는 어떻게 대응할 것인가? : 다각적 관점의 스포츠 정책적 담론. 한국스포츠학회지, 22(2), 521-536.
- 이상림(2014). 저출산 대응 지방자치 단체의 역할. 보건복지포럼, 213, 62-73.
- 이윤수, 이기영(2012). 한국의 저출산 문제에 대응하는 가족복지실천과 서비스 방향: 다자녀 어머니의 경험에 관한 질적 연구. 한국가족복지학, 38, 139-167.
- 이인숙(2005). 저출산의 요인분석과 사회복지적 함의. 한국사회복지학, 57(4), 67-90.
- 장수정, 박선아, 손예동(2022). 토픽모델링을 이용한 한국 인터넷 뉴스의 간호사 관련 기사 분석: COVID-19 유행 시기를 중점으로. 한국간호교육학회지, 28(4), 444-455.
- 정용주(2021). 건강보험 보장성 강화 및 지속가능성 제고 방안 연구, 한국콘텐츠학회논문지, 21(4), 96-110.
- 조경원, 우영운(2019). 텍스트 마이닝을 이용한 4차 산업 연구 동향 토픽 모델링. 한국정보통신학회논문지, 23(7), 764-770.
- 주상현(2021). 지방자치단체 인구소멸 실태와 정책 방안. 한국자치행정학보, 35(3), 295-321.
- 최병호(2003). 인구추계 변화가 사회보험재정에 미치는 영향 분석. 사회보장연구, 19(2), 97-115.
- 최성은(2011). 저출산고령화에 대응한 지속가능한 재정지출과 재원조달. 보건복지포럼, 172, 35-43.
- 최윤소, 김기운(2024). 한국여성체육학회지의 40년사 연구 되돌아보기: 빅데이터 분석을 기반으로 한 사회학적 관점에서 비판과 성찰. 한국여성체육학회지, 38(4), 187-200.
- 통계청(2025). 2024년 인구동향 조사: 출생⋅사망통계(잠정). 보도자료.
- 한국법제연구원(2021). 인구구조의 변화 대응을 위한 법제 연구. 세종:한국법제연구원.
- 한국보건사회연구원(2021). 미래 인구구조 변화에 따른 보건복지 대응. 세종:한국보건사회연구원.
- 한국스포츠개발원(2016a). 인구구조변화에 대응한 생활체육정책 방향과 과제 - 「국민생활체육참여 실태조사」 분석 기반 고령인구를 중심으로-. 서울:한국스포츠개발원.
- 한국스포츠개발원(2016b). 한국 체육 중장기 계획 수립을 위한 기초연구. 서울:한국스포츠개발원.
- 한국스포츠과학원(2024). 초저출산 시대, 한국 스포츠의 위기와 대응 전략. 스포츠 현안과 진단, 184호.
- 한국스포츠정책과학원(2021). 저출산 시대, 차세대 국가대표 선수를 위한 스포츠과학 지원. 스포츠 현안과 진단, 17호.
- 한남희(2018). 체육분야 일자리 창출을 통한 스포츠의 경제⋅사회적 가치 극대화 방안. 한국스포츠학회, 16(3), 301-313.
- 홍은주(2017). 저출산.고령화가 한국경제에 미치는 영향분석: 잠재경제성장률을 중심으로. 여성경제연구, 14(2), 1-23.
- Blei, D. M., Ng, A. Y., & Jordan, M. I.(2003). Latent dirichlet allocation. Journal of Machine Learning Research, 3, 993-1022.
-
Griffiths, T. L., & Steyvers, M.(2004). Finding scientific topics. Proceedings of the National Aademy of Sciences, 101(suppl_1), 5228-5235.
[https://doi.org/10.1073/pnas.0307752101]
-
Steyvers, M., & Griffiths, T. L.(2007). Probabilistic topic models. In Handbook of latent semantic analysis (pp. 439-460). Psychology Press.
[https://doi.org/10.4324/9780203936399.ch21]


