
11주간 생활 무용 프로그램이 여성 노인의 우울수준, 우울 관련 호르몬 및 DHEA-s에 미치는 영향
초록
본 연구는 11주간의 생활무용 수행이 70∼80세 여성 노인의 KGDS, serotonin, DHEA-s 및 β-endorphin에 미치는 영향을 구명하기 위하여 생활무용군(n=15), 대조군(n=16)으로 구분하여 실시하였다. 11주간의 생활무용 프로그램의 운동 강도는 목표 심박수와 주관적 운동 자각도(rating of perceived exertion; RPE)를 사용하였다. 측정된 자료의 생활무용군과 대조군 간의 그룹 및 시기 간 상호작용 효과는 two-way repeated measures ANOVA를 이용하였고, 상호작용 효과가 나타난 변인은 t-test를 통해 사후 검증을 실시하였다. 그룹 내 시기 간 차이는 paired t-test를 사용하였고, 그룹 간 차이는 independent t-test를 이용하였으며 유의수준(α)은 .05로 설정하였고 Bonferroni 보정을 적용하여 유의수준(α)은 .01로 설정하여 해당 기준에 따라 해석하여 다음과 같은 결과를 나타내었다. KGDS, serotonin, DHEA-s, β-endorphin은 그룹 및 시기 간 상호작용 효과가 나타났으며(p<.05), KGDS는 그룹 간 주효과(p<.05)와 그룹 내 시기 간 유의한 감소가 나타났다(p<.05). Serotonin.은 시기 간 주효과가 나타났으며(p<.05), β-endorphin은 시기, 그룹 간 주효과가 나타났다(p<.05). 이러한 결과를 종합해 볼 때, 본 연구의 생활무용은 여성 노인의 KGDS, serotonin, DHEA-s, β-endorphin에 긍정적인 효과가 있었으며, 이는 여성 노인에게 친숙한 음악을 통해 음악 속도를 증가시켜 운동 강도를 설정하여 생활무용을 수행한 것이 여성 노인의 우울 및 기분 관련된 주요 호르몬에 긍정적인 효과가 있음을 시사한다. 생활무용 수행은 단순히 유산소운동의 효과를 입증하는 것 이상의 다양한 생리학적 변화에 긍정적인 영향을 줄 수 있는 것을 확인하였다.
Abstract
This study aimed to examine the effects of an 11-week lifestyle dance program on the Korean Geriatric Depression Scale (KGDS), serotonin, β-endorphin, dehydroepiandrosterone sulfate (DHEA-s), and levels in elderly women aged 70 to 80 years. Participants were divided into a lifestyle dance group (n=15) and a control group (n=16). The intensity of the lifestyle dance intervention was regulated using target heart rate and the Rating of Perceived Exertion (RPE). From weeks 1 to 4, sessions were performed at low intensity (RPE 9-11, 30-39% HRR) with music tempos of 60-80 beats per minute (bpm). Weeks 5 to 8 progressed to moderate intensity (RPE 12-13, 40-59% HRR, 80-100 bpm), and weeks 9 to 11 reached high intensity (RPE 14-16, 60-69% HRR, 100-120 bpm). To assess differences over time and between groups, a two-way repeated measures ANOVA was employed to examine group × time interaction effects. Variables that showed significant interaction effects were further analyzed using post hoc t-test. Within group comparisons were conducted using paired t-test, and between group differences were assessed using independent t-test. The significance level was set at (a) = 0.05, and Bonferroni correction was applied where necessary. Overall, the findings suggest that consistent participation in lifestyle dance has beneficial effects on depression levels (KGDS), as well as on mood related hormones such as serotonin, DHEA-s, and β-endorphin in elderly women. The program’s use of familiar and enjoyable music, combined with a gradually increasing exercise intensity aligned to musical tempo, likely enhanced both psychological engagement and physiological outcomes.
Keywords:
Lifestyle dance, Elderly women, Depression level scale, Depression-related hormones, DHEA-s키워드:
생활무용, 여성 노인, 우울수준, 우울 관련 호르몬Ⅰ. 서 론
현대 사회는 기대수명의 증가로 노년기가 점차 장기화되고 있으며, 이에 따라 노인의 건강에 대한 사회적 관심도 더욱 증대되고 있다. 현재 노인의 정서적 건강을 살펴보면, 약 11.3%의 노인이 우울 증상을 경험하고 있으며, 여성 노인이 남성 노인보다 상대적으로 높은 비율로 우울을 경험하는 것으로 나타났다(보건복지부, 2023). 연령이 증가할수록 우울감이 심화 되는 경향을 보이며 이러한 우울감은 단순한 기분 장애를 넘어 삶에 대한 부정적 인식과 삶의 질 저하로 이어질 수 있어 적절한 평가와 개입이 요구되어(이금룡, 조은혜, 2013) 정서적 건강의 관리는 신체적 건강만큼이나 중요하다.
노인의 우울 수준은 Korean form of the Geriatric Depression Scale(KGDS)을 사용하였다. 총 30개 문항 구성으로 ‘정서적 불편감’, ‘비판적 사고 및 불행감’, ‘신체적 약화 및 기억쇠퇴’, ‘인지기능저하’, ‘사회적 관심과 활동저하’ 5개의 하위요인으로 구성되어 예, 아니오의 응답으로 우울 정도를 평가하는 자가보고형 설문지이다(김은아, 2023). 국내 노인을 대상의 수준 평가로 높은 신뢰도와 타당도를 지니며 노인의 우울 상태를 객관적으로 측정하고 정량화하여 우울 증상의 조기 발견과 예방을 위해 필요한 도구로 활용가치가 있다.
우울과 밀접한 관련이 있는 Serotonin은 기분, 수면, 식욕, 통증 등 다양한 생리 기능을 조절하는 신경전달물질로(Bamalan et al., 2023) 여성 노인은 폐경기 이후 급격한 estrogen의 감소가 serotonin 생합성과 전달에 부정적 영향을 미쳐 serotonin 농도의 저하를 초래한다(Sherwin, 2005). Serotonin 수치가 낮을 경우 우울, 불안, 수면장애 등의 정서적 이상이 유발된다. 이처럼 정서적 건강 문제에 대응하기 위한 중재 전략으로서 운동은 serotonin 생성을 촉진하고 신경전달 기능을 강화함으로써 정서적 안정에 기여하는 것으로 보고되고 있으며(Basso & Suzuki, 2016) 그중에서도 심혈관계 기능 향상은 노인 건강 유지에 필수적이다(Nobrega et al., 2014).
신체 활동의 증가는 뇌하수체 전엽에서 분비되는 β-endorphin의 농도를 상승시키며, 이는 통증 완화와 정서적 안정에 긍정적인 영향을 미치는 것으로 알려져 있으며(이동국, 2015) 면역 반응의 조절에 관여하여 노화로 인해 저하된 면역 기능을 보완하고, 만성 염증의 완화에도 기여하는 역할을 한다(Sacerdote, 2008). 특히 유산소운동에서 뚜렷하게 나타나며, 유산소운동은 β-endorphin 분비를 효과적으로 촉진하는 운동 형태로 평가되고 있으며, 실제로 걷기운동 후 β-endorphin 농도의 유의한 증가가 보고된 바 있다(김보균 외, 2015).
심폐지구력 향상, 혈관 기능 개선, 산소 이용 효율 증진 등을 통해 심혈관 건강을 증진하는 주요 운동 방식으로는 유산소 운동을 수행하며 정서적 안정, 수면의 질 향상, 스트레스 해소에도 효과적이라 사료된다(한정규, 2008; Yao et al., 2021). 이와 관련하여 생활무용은 유산소운동의 생리학적 효과와 예술적 표현, 심리적 해소를 결합한 전인적 활동으로 리듬감 있는 움직임을 통해 정서적 안정감, 몰입감, 자아 표현을 가능하게 한다(권인선 외, 2010). 또한, 비교적 단순하고 반복적인 동작으로 구성되어 노인의 체력 수준에 맞춰 운동 강도 조절이 가능하여 노인 운동 프로그램으로 효과적이라 사료된다.
노화와 밀접한 연관을 갖는 호르몬인 DHEA-s (dehydroepiandrosterone sulfate)는 부신에서 분비되는 스테로이드 성호르몬이며, 내분비계 노화와 심혈관질환의 병인과 밀접한 관련이 있다(Sanders et al., 2010). 최근 연구 의하면 활동적인 고령 여성은 비활동적인 여성에 비해 DHEA-s 농도가 높으며, 신체 활동을 증가시킬 경우 DHEA-s 수치가 향상된다는 결과가 보고되었다(Huang et al., 2006; De Nys et al., 2022). 이에 운동을 통한 내분비 기능 향상과 신체 활동 증진은 여성 노인의 건강 유지에도 도움이 된다.
한편, 운동 중재 연구에서는 일반적으로 12주 내외의 기간이 많이 활용되지만, 선행연구에 따르면 8∼10주간의 규칙적인 유산소성 신체활동에서도 노인의 우울 수준 및 기분 관련 호르몬에 유의한 변화가 나타날 수 있음이 보고되고 있다(김보균 외, 2015; Basso & Suzuki, 2016). 또한 운동 효과는 절대적인 중재 주 수보다는 운동의 빈도, 강도 및 누적 자극량에 의해 결정되는 경향이 있으며, 규칙적인 신체활동은 비교적 짧은 기간 내에서도 고령 여성의 DHEA-s 농도 개선에 긍정적인 영향을 미치는 것으로 알려져 있다(Huang et al., 2006; De Nys et al., 2022). 이러한 선행연구를 근거로 본 연구에서는 점진적 강도 증가 방식의 생활무용 프로그램을 적용하고, 최소 유효 중재 기간을 초과하면서 충분한 누적 운동 자극을 확보할 수 있는 11주간의 중재 기간을 설정하였다.
이를 종합해 볼 때, 본 연구는 규칙적인 생활무용 수행은 현대문명 발달에 따른 신체활동이 부족한 여성 노인에게 친숙한 음악을 통해 주차 별 점진적으로 음악 속도를 증가하여 운동 강도를 설정할 수 있는 프로그램으로 노인의 기분과 감정에 밀접한 관련이 있는 우울수준과 감정관련호르몬 및 노화호르몬의 효과를 규명하고자 하였다.
Ⅱ. 연구 방법
1. 연구 대상
본 연구는 U광역시에 거주하며 평소 규칙적인 운동을 하지 않는 70∼80세의 여성 노인을 대상으로 본 연구에 자발적인 참여 의사를 가진 대상자에 한하여 연구절차와 내용을 충분히 설명한 뒤 진행하였다. G* Power 3.1프로그램(Heinrich‑Heine‑Universitat Dusseldorf, Dusseldorf, Germany)을 사용하여 반복측정 분산 분석법에 의거하여 effect size f=0.27, 그룹 수 2개, 반복측정 횟수 2회, 검정력 0.8, 유의수준 .05로 설정하여 총 30명이 산출되었으나, 탈락률 20%를 고려하여 총 36명으로 모집하였다. 대상자는 무선 할당(random assignment)을 통해 생활무용군(life dance group; LG, n=18)과 대조군(control group; CG, n=18)으로 구분하였으나 중도 탈락자 및 검사 결과에 신뢰성이 없는 자를 제외하여 생활무용군 15명(LG, n=15), 대조군 16명(CG, n=16)으로 총 31명으로 분석하였다. 또한, 본 연구는 P대학 생명윤리위원회의 승인 받은 실험에서 파생된 연구이다(PNU IRB/2025_11_HR). 대상자의 신체적 특성은 <표 1>과 같다.
2. 생활무용 프로그램
본 연구의 생활무용 프로그램은 이정아 및 김도연(2012)의 라인댄스 프로그램 및 안일순 외(2021)의 에어로빅 프로그램을 수정⋅보완하였다. 생활무용은 60-120 bpm 사이의 음악에 맞춰 10가지 동작을 반복하여 1-4주는 60-80 bpm, 5-8주는 80-100 bpm, 마지막 9-11주는 100-120 bpm 속도의 음악에 맞춰 실시하였으며, 고령 여성 대상 운동의 특성을 고려하여 소그룹 기반으로 운영하였다. 생활무용군은 지도자의 개별 관찰과 안전 관리를 용이하게 하기 위해 한 회기당 5∼8명 내외로 구성하여 시간대를 나누어 프로그램에 참여하도록 하였으며, 각 소그룹은 동일한 공간에서 지도자의 정면 시범을 따라 생활무용을 수행하였다. 운동 강도는 무선심박수를 측정할 수 있는 RS400sd(Polar, FIN)을 사용하여 목표심박수를 가지고 설정하였고 일주일간 운동 적응 후 운동자각도(rating of exertion; RPE)를 기준으로 강도를 설정하였다. 세부적인 운동 프로그램은 <표 2>와 같다.
3. 연구방법
(1) 체조성
본 연구의 대상자들은 Inbody 430(Inbody, KOR)을 사용하여 체조성(체중, BMI, %BF)을 자동 측정하였고, 신장(cm)은 신장계를 이용하여 측정하였다.
(2) KGDS(Korean form of geriatric depression scale)
본 연구는 노인의 우울 정도를 평가하는 KGDS 설문을 사용하여 사전⋅사후 각각 두 번 동일한 방법으로 하였다. 설문지는 총 30개의 항목으로써 ‘예/아니오’로 응답하는 양분 척도이며, 점수가 높을수록 우울 증상이 심하다는 것을 의미한다. 14-18점은 우울 의심 및 경도의 우울증, 19-21점은 중도의 우울증, 22점 이상은 심한 우울증으로 분류하였다. 본 연구에서 사용한 KGDS 설문지의 신뢰도는 Cronbach’s α=.88이다(정인 외, 1997).
(3) 혈액채취
혈액검사를 위해 전날 오후 9시 이후부터 공복을 유지하고, 채혈 당일 오전 7-9시에 전완정맥에서 혈액 10 mL를 전문 임상병리사가 채취하였다. 채취한 혈액은 serum separate tube(SST)에 수집한 후 원심불리기 Combi-514R(Hanil, KOR)을 이용하여 3000 rpm으로 분리한 후 상층액 1.5 mL튜브(microtube)에 옮긴 후 다음 분석 시까지 -80⁰C deep freezer에 보관하여 분석하였다.
(4) 혈액분석
① Serotonin
Serotonin은 chromsystems(Chromsystems, DEU)를 사용하고 HPLC(high‑performance liquid chromatography)법을 이용하여 분석 장비 Agilent 1200‑ECD(Agilent, USA)를 사용하여 분석하였다.
② β-endorphin
β-endorphin은 β-endorphin Competitive ELISA kit(Theromo Fisher, USA)를 사용하고 경쟁적 ELISA(Enzyme‑linked immunosorbent assay) 방법을 이용하여 분석 장비 microplate Reader AMR‑100(Allsheng, CHN)을 사용하여 분석하였다.
③ DHEA-s
DHEA-s는 elecsys DHEA‑s(Roche, DEU)를 사용하고 ECLIA(electrochemiluminescence immunoassay)법을 이용하여 분석 장비 Cobas 8000 e801(Roche, DEU)를 사용하여 분석하였다.
4. 자료처리
본 연구에서 측정한 모든 자료는 SPSS ver 27.0을 사용하여 측정항목에 대한 평균값(M)과 표준편차(SD)를 산출하였다. 데이터 분석 전 데이터 정규성 만족 여부를 확인하기 위하여 Shapiro-Wilk(소단위 표본) 검정을 실시하였다. 이에 집단 및 시기 간 상호작용은 two-way repeated measures ANOVA, 집단 내 운동 전후 차이 검정은 paired t-test, 집단간 차이 검정은 independent t-test를 실시하였다. 상호작용 효과가 유의하게 나타난 경우, 단순 주효과 분석을 실시하였고 집단 내 변화, 집단 간 사전 비교, 집단 간 사후 비교, 변화율 간 비교 등 총 5회 비교를 시행하였으며 이에 따른 1종 오류를 보정하기 위해 Bonferroni 보정을 적용하였다. 모든 통계적 유의수준은 .05로 설정하였으며, 사후 분석에는 보정된 유의수준 0.01로 설정하여 해석하였다.
Ⅲ. 연구결과
1. 우울 수준의 비교
본 연구의 우울 수준 척도인 KGDS는 생활무용군 및 대조군의 그룹×시기 간 상호작용 효과와(p<.01) 그룹 간 주효과(p<.05)가 나타났으며, 사후 분석에서 생활무용군과 대조군의 변화값에 그룹 간 유의한 차이가 나타났고(Bonferroni adjusted: p<.01) 생활무용군에서 그룹 내 시기 간 유의한 감소가 나타났다(Bonferroni adjusted: p<.01). 연구결과는 <표 3>, <그림 1, 2>와 같다.
Ⅳ. 논의
본 연구는 생활무용이 여성 노인의 우울수준 척도인 KGDS와 우울 관련 호르몬(serotonin, β-endorphin) 및 DHEA-s에 미치는 영향을 알아보고자 생활무용군과 대조군을 나누어 실험을 진행하였다. 노년기에는 생리적 노화와 더불어 심리적 취약성이 증가하면서, 우울 및 불안과 같은 정서적 문제를 경험할 가능성이 높다고 보고되고 있으며(Fiske et al., 2009), 운동을 통한 신체 활동 시 이러한 정서적 문제를 완화하고 노인의 정서적 건강에 긍정적인 영향을 미치는 것으로 널리 알려져 있다(Mikkelsen et al., 2017).
본 연구에서 11주간 생활무용 프로그램 참여 후 생활무용군의 KGDS 점수가 감소하였고 생활무용이 여성 노인의 우울 수준 개선에 긍정적인 영향을 미쳤음을 알 수 있다. 본 연구에서 우울감이 유의한 감소한 이유는 단순한 신체 활동량의 증가뿐만 아니라 사회적 상호작용의 기회 제공이라는 정서적 요인도 복합적으로 작용했을 가능성이 있다. 기존에 규칙적인 운동을 하지 않던 대상자들이 생활무용 활동에 지속적으로 참여하며 타인과 교류하는 경험을 통해 정서적 안정감을 획득하였을 것으로 판단되며, 실제로 선행연구에서 노인이 운동 프로그램에 참여함으로써 소속감 및 사회적 유대감이 형성되고, 이는 외로움 해소와 정서적 안정감 향상에 기여한다고 보고한 바 있다(Brady et al., 2020). 이는 본 연구에서 관찰된 KGDS 감소가 단순히 생리적 반응의 결과뿐만 아니라, 프로그램이 제공한 심리적⋅사회적 자극의 효과에 기인했을 가능성을 뒷받침한다.
또한, 생활무용 프로그램 구성 시 음악 요소의 활용이 정서적 효과에 기여했을 수 있다. 한가영 외(2016)는 음악 활동에 참여한 노인이 비참여 노인에 비해 우울 수준이 유의하게 낮았다고 보고하였으며, 이는 운동 중 음악이 긍정적인 감정 유도 및 몰입 경험 촉진에 기여했을 가능성을 의미한다. 본 연구에서도 음악의 bpm과 리듬은 노인의 운동 참여를 유도하고 흥미를 증진 시켜 정서적 안정과 우울감 완화에 긍정적인 영향을 미쳤을 것으로 생각되고 생활무용 프로그램을 11주간 주 회, 회당 60분으로 되어 있어 운동 강도와 기간 측면에서도 충분한 효과가 있을 수 있음으로 판단된다. 이에 규칙적인 생활무용 참여는 단순한 신체 활동의 확대를 넘어 사회적 상호작용의 기회 제공, 음악적 자극, 정서적 몰입 경험을 유도하는 등 복합적 요소를 통해 여성 노인의 정서적 건강을 증진시키고 우울감 완화에 효과적인 중재방법으로 작용하였다.
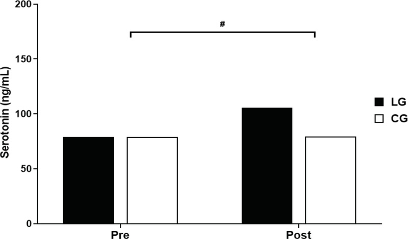
한편, 신경전달물질인 serotonin은 폐경 이후 여성은 estrogen의 급격한 감소로 인해 다양한 생리적⋅정서적 변화를 겪게 되며, 이는 serotonin 수용체 기능의 저하와 밀접한 관련이 있는 것으로 보고되고 있다(Borrow & Cameron, 2014). 이러한 변화는 여성 노인에게 우울, 불안, 수면장애 등 다양한 정서적 이상 증상을 유발할 수 있으며, 특히 중추신경계 내 serotonin 농도의 변화는 정서 조절과 밀접하게 관련된다. serotonin은 중추신경계에서 운동 수행능력과 신경전달 기능을 조절하는 핵심적인 물질로, 지속적인 운동 자극은 serotonin의 생합성과 수용체 발현 증가에 영향을 주어 뇌 기능 및 구조적 변화까지 유도할 수 있음이 선행연구에서 제시되고 있다(Pietrelli et al., 2018). 본 연구 결과를 토대로 11주간의 생활무용 중재 후 생활무용군의 serotonin 농도가 유의하게 증가하였으며, 이는 운동이 serotonin 기능 활성화에 긍정적인 영향을 미쳤음을 의미한다. 본 연구에서 실시된 생활무용은 주 3회, 반복적이고 리드미컬한 스텝 동작으로 구성되어 있으며, 이러한 규칙적인 리듬 자극이 뇌 중심부의 혈류를 증가시키고 중추 및 말초신경계 자극을 유도함으로써 serotonin 농도 증가에 기여했을 가능성이 있다(Heijnen et al., 2016).
연구결과를 보다 정확하게 해석하기 위해서는 단면적 비교보다는 시간의 경과에 따른 변화를 추적하는 것이 중요하여 조재혁(2015)은 운동군과 대조군 간 serotonin 수치의 차이가 시기에 따라 다르게 나타났으며, 단순 비교보다는 시기별 변화 측정이 효과를 파악하는 데 더 적절함을 밝혔다. 본 연구에서도 그룹 간 주효과는 유의하지 않았으나, 시기 간 변화 및 변화값 간의 차이가 유의하여 이와 같은 해석을 뒷받침한다. 또한, 본 연구의 생활무용 프로그램은 정기적이고 지속적인 참여 구조를 갖추고 있어 시기 간 변화에 긍정적으로 작용했을 가능성이 높으므로 운동 빈도와 지속성 역시 중요한 요소로 작용하였다.
이에, 본 연구에서 생활무용 프로그램을 통해 serotonin 농도가 유의하게 증가한 것은 대상자에게 신체적 자극뿐만 아니라 음악적 리듬과 사회적 상호작용 등 복합적 정서 자극이 제공되었기 때문으로 해석할 수 있다. 이러한 결과는 생활무용이 여성 노인의 우울감, 불안, 기분 저하 등의 정서적 문제를 완화하고, 정서적 건강을 보호하며 삶의 질 향상에 긍정적으로 기여할 수 있는 중재 방법임을 시사한다.
β-endorphin은 시상하부 및 뇌하수체 전엽에 존재하며 POMC(pro-opiomelanocortin) 세포에서 생성되고 진통제로 작용을 하여 통증을 완화시키고 기분 조절 및 정서 안정에 중요한 역할을 하는 것으로 알려져 있다. 본 연구의 결과에 따르면, 11주간의 생활무용 중재 후 생활무용군의 β-endorphin 농도가 유의하게 증가하였다. 이 같은 결과는 생활무용 중재에서 적용한 점진적 강도 증가 방식에 기인한 것으로 보인다. 즉, 초기에는 저강도 운동을 통해 기초 스텝 동작을 습득하고, 이후 점차적으로 중강도와 고강도 수준까지 강도를 증가시키는 방식으로 프로그램을 구성함으로써, 고령 대상자가 고강도 수준에서도 원활하게 운동을 수행할 수 있도록 하였다. 이러한 설계는 결과적으로 HPA축(hypothalamus-pituitary-adrenal axis)을 효과적으로 자극하여 β-endorphin 분비를 촉진하였을 것으로 판단된다(Goldfarb & Jamurtas, 1997). β-endorphin 농도의 상승은 우울감 완화와 직접적인 인과 관계를 단정할 수는 없지만, 여러 연구에서는 β-endorphin이 우울, 불안 등의 정서적 증상을 경감시키는 데 긍정적인 영향을 미친다고 보고하고 있으며(Craft & Perna, 2004), 본 연구에서도 β-endorphin 증가와 함께 KGDS 감소가 관찰되었으며, 이는 생활무용 프로그램이 여성 노인의 정서적 건강을 증진하는 데 효과적이었다고 생각된다. 따라서, 본 연구의 생활무용을 통한 β-endorphin 농도 증가는 기분 개선, 정서적 안정, 우울감 완화에 긍정적인 영향을 미쳤으며 향후 지속적인 운동 참여를 유도할 수 있는 생리적, 심리적 기반으로 작용할 수 있을 것으로 기대된다.
DHEA-s(dehydroepiandrosterone sulfate)의 혈중 농도는 일반적으로 20대에 최고치에 도달한 이후 연령증가에 따라 점진적으로 감소하며, 80대에는 생애 최저 수준에 이르는 것으로 보고되고 있다(Maggio et al., 2015). DHEA-s 농도의 감소는 단순한 생리적 노화 과정에 그치지 않고, 혈역학적 불안정성, 폐동맥 고혈압의 발생 위험 증가, 질병의 중증도 심화 및 사망률 상승과도 유의한 연관성을 나타내는 것으로 알려져 있다(Baird et al., 2018).
본 연구의 결과는 11주간의 생활무용 프로그램 중재 후 생활무용군의 DHEA-s 농도가 유의하게 증가하였으며, 이는 규칙적인 신체 활동이 고령 여성의 내분비 기능 회복 및 호르몬 분비 활성화에 긍정적인 영향을 미쳤음을 시사한다. 이는 고령층을 대상으로 하는 운동에서 과도한 초기 강도가 신체적 부담과 낮은 성취감을 유발하여 운동 지속률 저하로 이어질 수 있어, 본 프로그램은 4주 간격으로 운동 강도를 점진적으로 증가시키는 방식으로 설계하였다. 이에, 본 연구 대상자의 신체적, 심리적 적응을 유도하고 결과적으로 부신 기능을 활성화시켜 DHEA-s 분비 증가에 기여했을 것으로 생각된다(Heaney et al., 2013).
Zouhal et al.(2022)의 연구에 따르면, DHEA-s 농도는 운동의 강도와 기간에 따라 증가할 수 있으며, 중등도 이상의 유산소 활동이 효과적이라는 결과를 제시하였다. 본 연구에서도 11주간 30–69%HRR 수준의 강도를 기반으로 생활무용을 설계하였으며, 이 같은 기간과 강도는 DHEA-s 농도의 증가를 유도하기에 충분한 조건이었을 것으로 보인다.
한편, 본 연구의 대조군에서 DHEA-s 농도가 오히려 유의하게 감소하는 경향을 보였는데, 이는 신체 활동 부족에 따른 내분비 기능 저하로 해석할 수 있다. De Nys et al.(2022)은 활동적인 노인이 비활동적인 노인에 비해 DHEA-s 농도가 높게 유지된다고 보고하였으며, 이는 본 연구의 결과와도 일치한다. 대조군의 활동 수준이 낮았던 점은 호르몬 감소의 중요한 설명 변수로 작용했을 가능성이 있다.
따라서, 본 연구의 생활무용을 통한 규칙적인 신체 활동은 DHEA-s 농도 증가를 유도함으로써, 내분비 기능 개선, 면역력 향상, 심혈관 건강증진에 기여할 것을 기대하며, 궁극적으로 노인의 질병 예방과 삶의 질 향상에 긍정적인 영향을 줄 수 있는 유효한 운동 전략으로 평가될 수 있다.
하지만, 본 연구는 여러 제한점을 지닌다. 첫째, 본 연구는 70∼80세 여성 노인을 대상으로 하였기 때문에 연구 결과를 남성 노인이나 다른 연령대의 노인 집단으로 일반화하는 데에는 한계가 있다. 둘째, 생활무용 프로그램은 소그룹 형태로 운영되었으나, 개인의 체력 수준, 운동 숙련도 및 정서적 반응 차이를 완전히 통제하지 못하였다는 제한점이 있다. 셋째, 본 연구에서는 생활무용 중재의 효과를 사전⋅사후 비교를 통해 분석하였으나, 중재 종료 이후의 추적 관찰(follow-up)이 이루어지지 않아 운동 효과의 지속성을 확인하지 못하였다. 넷째, 혈중 serotonin, β-endorphin 및 DHEA-s와 같은 생화학적 지표는 일시적인 생리적 상태나 개인의 생활 습관, 수면 상태 등에 의해 영향을 받을 수 있음에도 불구하고, 이러한 외적 요인을 완전히 통제하지 못한 점이 있다. 마지막으로, 본 연구는 중재 기간을 11주로 설정하여 의미 있는 결과를 도출하였으나, 중재 기간에 따른 효과 차이를 직접적으로 비교하지 못하였다는 점에서 향후 연구에서는 다양한 중재 기간을 적용한 비교 연구가 필요할 것으로 사료된다.
Ⅴ. 결론
본 연구의 결과를 종합해 볼 때, 11주간의 생활무용 수행은 여성 노인의 우울 수준(KGDS)과 기분 관련 호르몬인 serotonin, β-endorphin 및 DHEA-s에 긍정적인 영향을 미친 것으로 나타났다. 이는 생활무용이 단순한 신체 활동을 넘어 정서적 안정과 내분비 기능 개선에 기여할 수 있는 효과적인 운동 중재 방법임을 시사한다. 특히 본 연구에서 적용한 생활무용 프로그램은 친숙한 음악과 반복적인 동작으로 구성되어 다양한 현장에서 지속적으로 운영이 가능하며, 노인복지관, 경로당, 보건소 등 지역사회 기반 건강증진 프로그램으로 활용될 수 있는 실천적 가능성을 지닌다. 따라서 생활무용은 여성 노인의 우울감 완화와 긍정적 정서 유도를 위한 효과적인 지역 연계형 운동 중재 전략으로 활용될 수 있을 것으로 사료된다. 향후 연구에서는 다양한 연령대와 성별, 건강 상태를 포함한 대상자 확대와 더불어, 중재 효과의 장기적 지속성을 검증하는 추적 연구가 필요할 것으로 판단된다.
Acknowledgments
본 논문은 부산대학교 대학원 석사학위논문을 토대로 수정⋅보완하여 작성되었음.
References
- 권인선, 윤대현, 박세윤(2010). 생활무용프로그램이 여성 독거노인의 정신건강 및 자아존중감에 미치는 영향. 한국스포츠심리학회지, 21(2), 15-32.
- 김보균, 박인성, 박상규(2015). 숲에서의 걷기운동이 β-엔돌핀 및 노르에피네프린의 농도에 미치는 영향. 한국여성체육학회지, 29(4), 239-251.
- 보건복지부(2023). 노인실태조사 결과보고서
- 안일순, 이수근, 김동화(2021). 12주간 시니어 에어로빅운동이 여성 노인의 건강 체력과 기능성 행동 체력 및 일상생활 체력에 미치는 영향. 한국체육교육학회지, 26(2), 127-146.
- 이금룡, 조은혜(2013). 독거노인의 자살생각에 영향을 미치는 주요 변인에 관한 연구: 사회적 지지의 직접 및 간접 효과를 중심으로. 보건사회연구, 33(1), 162-189.
- 이동국(2015). 내인성 아편유사제의 임상적 이해. 대한통증. 자율신경학회지, 4(2), 37-44.
- 이정아, 김도연(2012). 라인댄스 운동이 폐경 후 비만 여성의 인슐린저항성지수와 에너지대사조절 인자에 미치는 영향. 한국산학기술학회 논문지, 13(10), 4636-4644.
- 정인, 곽동일, 조숙행, 이현수(1997). 한국형 노인우울 검사 (Korean form of geriatric depression Scale; KGDS) 표준화 연구. 노인정신의학, 1(1), 61-72.
- 조재혁(2015). 12주간의 달리기운동 프로그램이 중년 여성의 세로토닌과 코티졸 수준에 미치는 영향. 한국스포츠학회지, 13(4), 163–170.
- 한가영, 오영삼, 김영선(2016). 음악 활동이 노인의 건강 노화에 미치는 영향. 보건사회연구, 36(3), 363-392.
- 한정규(2008). 유산소운동이 관상동맥질환자의 심혈관 기능 및 혈중지질에 미치는 영향. 코칭능력개발지, 10(1), 55-62.
-
Baird, G. L., Archer-Chicko, C., Barr, R. G., Bluemke, D. A., Foderaro, A. E., Fritz, J. S., & Ventetuolo, C. E.(2018). Lower DHEA-s levels predict disease and worse outcomes in post-menopausal women with idiopathic, connective tissue disease-and congenital heart disease-associated pulmonary arterial hypertension. European Respiratory Journal, 51(6).
[https://doi.org/10.1183/13993003.00467-2018]
- Bamalan, O. A., Moore, M. J., & Al Khalili, Y.(2023). Physiology, serotonin. In StatPearls [internet]. Treasure Island (FL): StatPearls Publishing. Available from: http//www.ncbi.nlm.nih.gov/sites/books/NBK545168/
-
Basso, J. C., & Suzuki, W. A.(2016). The effects of acute exercise on mood, cognition, neurophysiology, and neurochemical pathways: a review. Brain Plasticity, 2(2), 127-152.
[https://doi.org/10.3233/BPL-160040]
-
Borrow, A. P., & Cameron, N. M.(2014). Estrogenic mediation of serotonergic and neurotrophic systems: implications for female mood disorders. Progress in Neuro-Psychopharmacology and Biological Psychiatry, 54, 13-25.
[https://doi.org/10.1016/j.pnpbp.2014.05.009]
-
Brady, S., D’Ambrosio, L. A., Felts, A., Rula, E. Y., Kell, K. P., & Coughlin, J. F.(2020). Reducing isolation and loneliness through membership in a fitness program for older adults: implications for health. Journal of Applied Gerontology, 39(3), 301-310.
[https://doi.org/10.1177/0733464818807820]
-
Craft, L. L., & Perna, F. M.(2004). The benefits of exercise for the clinically depressed. Primary Care Companion to the Journal of Clinical Psychiatry, 6(3), 104.
[https://doi.org/10.4088/PCC.v06n0301]
-
De Nys, L., Ofosu, E. F., Ryde, G. C., Connelly, J., & Whittaker, A. C.(2022). Physical activity influences cortisol and dehydroepiandrosterone (Sulfate) levels in older adults: a systematic review and meta-analysis. Journal of Aging and Physical Activity, 31(2), 330-351.
[https://doi.org/10.1123/japa.2021-0501]
-
Fiske, A., Wetherell, J. L., & Gatz, M.(2009). Depression in older adults. Annual Review of Clinical Psychology, 5(1), 363-389.
[https://doi.org/10.1146/annurev.clinpsy.032408.153621]
-
Goldfarb, A. H., & Jamurtas, A. Z.(1997). β-Endorphin response to exercise: an update. Sports Medicine, 24, 8-16.
[https://doi.org/10.2165/00007256-199724010-00002]
-
Heaney, J. L., Carroll, D., & Phillips, A. C.(2013). DHEA, DHEA-s and cortisol responses to acute exercise in older adults in relation to exercise training status and sex. Age, 35, 395-405.
[https://doi.org/10.1007/s11357-011-9345-y]
-
Heijnen, S., Hommel, B., Kibele, A., & Colzato, L. S.(2016). Neuromodulation of aerobic exercise—a review. Frontiers in Psychology, 6, 1890.
[https://doi.org/10.3389/fpsyg.2015.01890]
-
Huang, Y. J., Chen, M. T., Fang, C. L., Lee, W. C., Yang, S. C., & Kuo, C. H. (2006). A possible link between exercise-training adaptation and dehydroepiandrosterone sulfate-an oldest-old female study. International Journal of Medical Sciences, 3(4), 141.
[https://doi.org/10.7150/ijms.3.141]
-
Maggio, M., De Vita, F., Fisichella, A., Colizzi, E., Provenzano, S., Lauretani, F., & Ceda, G. P.(2015). DHEA and cognitive function in the elderly. The Journal of Steroid Biochemistry and Molecular Biology, 145, 281-292.
[https://doi.org/10.1016/j.jsbmb.2014.03.014]
-
Mikkelsen, K., Stojanovska, L., Polenakovic, M., Bosevski, M., & Apostolopoulos, V.(2017). Exercise and Mental Health. Maturitas, 106, 48-56.
[https://doi.org/10.1016/j.maturitas.2017.09.003]
-
Nobrega, A. C., O’ Leary, D., Silva, B. M., Marongiu, E., Piepoli, M. F., & Crisafulli, A.(2014). Neural regulation of cardiovascular response to exercise: role of central command and peripheral afferents. BioMed Research International, 2014(1), 478965.
[https://doi.org/10.1155/2014/478965]
-
Pietrelli, A., Matković, L., Vacotto, M., Lopez-Costa, J. J., Basso, N., & Brusco, A.(2018). Aerobic exercise upregulates the BDNF-Serotonin systems and improves the cognitive function in rats. Neurobiology of Learning and Memory, 155, 528-542.
[https://doi.org/10.1016/j.nlm.2018.05.007]
-
Sacerdote, P.(2008). Opioid-induced immunosuppression. Current opinion in Supportive and Palliative Care, 2(1), 14-18.
[https://doi.org/10.1097/SPC.0b013e3282f5272e]
-
Sanders, J. L., Boudreau, R. M., Cappola, A. R., Arnold, A. M., Robbins, J., Cushman, M., & Newman, A. B.(2010). Cardiovascular disease is associated with greater incident dehydroepiandrosterone sulfate decline in the oldest old: The cardiovascular health study all stars study. Journal of the American Geriatrics Society, 58(3), 421-426.
[https://doi.org/10.1111/j.1532-5415.2010.02724.x]
-
Sherwin, B. B.(2005). Estrogen and mood in women. The Endocrinologist, 15(3), 180-185.
[https://doi.org/10.1097/01.ten.0000162373.22576.7d]
-
Yao, L., Fang, H., Leng, W., Li, J., & Chang, J.(2021). Effect of aerobic exercise on mental health in older adults: A beta-analysis of randomized controlled trials. Frontiers in Psychiatry, 12, 748257.
[https://doi.org/10.3389/fpsyt.2021.748257]
-
Zouhal, H., Jayavel, A., Parasuraman, K., Hayes, L. D., Tourny, C., Rhibi, F., & Hackney, A. C.(2022). Effects of exercise training on anabolic and catabolic hormones with advanced age: A systematic review. Sports Medicine, 1-16.
[https://doi.org/10.1007/s40279-021-01612-9]








